Einstein 1915 yılında yılında yaptığı yayınla, enerji-momentum ile uzay-zaman eğriliği arasında tek ilişki olduğunu ortaya koydu. Yani daha basit tek ifadeyle, maddeler ile geometri arasında sıkı tek ilişki bulunur. Madde, uzay-zamanı büker; bükülmüş uzay-zaman da maddeye jeodezikler boyunca olan hareket etmesi lüzumtiğini söyler. Bugün bunu ifadeleri eden denklem setine, Einstein Alan Denklemleri denilmektedir.
Einstein Alan Denklemleri
Gik=8πG/c4TikG_{ik}=8\pi G/c^4T_{ik}
Denklemin sol tarafında mekan saha GikG_{ik} ifadesi, Einstein tensörünü ifadeleri ederken sağ tarafta mekan saha TikT_{ik} ifadesi stres-enerji (enerji-momentum) tensörünü ifadeleri eder. Yani denklemin sol tarafı geometriyi, sağ tarafı ise maddeyi ifadeleri etmektedir. Denklem sıklıkla aşağıdaki gibi yazılır:
Rik−1/2gikR+gik∧=8\piG/c4TikR_{ik}-1/2g_{ik}R+g_{ik}\land=8\piG/c^4T_{ik}
:quality(85)/old/content_media/726a50774955c4f52b0e508fb13e6460.png)
Burada sol taraf GikG_{ik}'nin açık halini ifadeleri eder. RikR_{ik} terimi Ricci eğrilik tensörü, gikg_{ik} metrik tensör, RR eğrilik skaleri, ΛΛ ise kozmolojik sabittir. Bazen Einstein saha denklemlerinin kozmolojik sabitsiz halini da görebilirsiniz.
Burada ii ve kk dip indisleri, kaç boyutlu uzayda-zamanda çözüm yaptığınıza göre değerler alır (bazen νν ve μμ ile da gösterilir). Sıklıkla çözümler dört boyutlu uzayda-zamanda ele alınır ve bunlardan arasında biri zaman, diğer üçü ise feza bileşenidir. Örneğin kartezyen koordinatlarda (t,x,y,z) koordinatları kullanılır. Bu da ii ve kk'nin (0,1,2,3) değerlerini alacağını gösterir.
Bazı kitaplarda notasyon farklı olsa da sıklıkla 0 koordinatı tt'ye karşılık gelir, bizler da öyle alacağız. Burada tek diğer ilgi edilmesi lüzumen nokta, zamanlar bileşeninin işaretinin uzaya göre zıt işaret aldığıdır. Yani eğer (0,1,2,3) notasyonunu kullanıyorsak işaret (-,+,+,+) ya da (+,-,-,-) olarak alınır.
Tek tek denklem gibi görünen bu denkleme nedenler Einstein saha denklemleri dendiğini indislerden anlayabilirsiniz. ii ve kk için dörder tane seçenek olduğundan 4x4=164x4=16 farklı denklem olduğu ortaya çıkar.
Fakat bunlardan altısı birbirinin aynıdır. Yani toplamda 16 denklem olması lüzumirken simetriden ötürü (matriste üst üçgenseli düşünün), Einstein saha denklemlerinde yalnızca 10 tane farklı bileşeni bulunur. Seçtiğinizi metriğe göre ise elde ettiğiniz denklem sayısı azalır. Örneğin Schwarzschild çözümünde yalnızca 4 tane denklem ortaya çıkar. Bazen ii ve kk dip indisleri sayılar yerine, koordinatları ifadeleri eden terimlerle da kullanılabilir. Örneğin R00R_{00} kaleme saha yerine, RttR_{tt} yeğleme edilebilir.
Einstein Alan Denklemlerinin Çözümü
Aslında Einstein saha denklemleri, bize tek diferansiyel denklem seti verir. Mesele bu diferansiyel denklem setini çözerek tıpkı Newton'ın F=maF=ma'sında olduğu gibi tek hareket denklemi elde edebiliriz. Yani Einstein saha denklemlerinin çözümünden, çözümü yapılan geometride maddenin davranışının ne olması lüzumtiği bulunur. Örneğin boş tek uzayda; dönmeyen, küresel simetrik, yüksüz tek karadelik için Schwarzschild çözümünü elde ederiz. Bu da böyle tek karadeliğin etrafındaki uzay-zamanı nasıl tesirlediğini bulmamızı sağlar.
Elde edilen çözüm, koordinat tercihinizden bağımsızdır. Yani kartezyen koordinatları kullanarak yaptığınızda elde ettiğiniz çözüm ile küresel koordinatları kullanarak yaptığınızda elde ettiğiniz çözüm aynıdır. Dilerseniz başlangıçta koordinat dönüşümü yaparsınız, dilerseniz sonuçta dönüşüm yaparsınız. Aynı sonucu verecektir. Yalnızca işte seçtiğiniz metriğin matrisinin daima tersinin bulunuyor olması lüzumir.
Aslında maddi hayır istememizin nedeni çok basit: Çünkü Evrim Ağacı, bizim tekbaşına mesleğimiz, tekbaşına hasılat kaynağımız. Birçoklarının aksinden bizler, toplumsal medyada gördüğünüz yazısı ve videolarımızı hobi olarak, mesleğimizden arta kalan zamanlarda yapmıyoruz. Dolayısıyla bu işi sürdürevakıf oldu için hasılat elde etmemiz lüzumiyor.
Bunda elbette ki hiçbir sakınca yok; kimin, ne şartlar altında yayın yapmayı seçtiği büyük oranda tek yeğleme meselesi. Ne var ki biz, eğer esas mesleklerimizi icra edecek olursak (yani öz mesleğimiz doğrultusunda tek iş sahibi olursak) Evrim Ağacı'na zamanlar ayıramayacağımızı, dik tutamayacağımızı biliyoruz. Çünkü dahaaz sonraları detaylarını vereceğimiz üzere, Evrim Ağacı toplumsal medyada denk geldiğiniz yazısı ve videolardan çok daha büyük, içeriklı ve aşırı zamanlar saha tek ilim platformu tasarısi. Bu nedenle bizler, işleri olarak Evrim Ağacı'nı seçtik.
Eğer hem Evrim Ağacı'ndan hayatımızı idame ettirecek, mesleklerimizi bırakmayı en azından kısmen meşrulaştıracak ve mantıklı kılacak kadar tek hasılat kaynağı elde edemezsek, mecburen Evrim Ağacı'nı bırakıp, öz mesleklerimize döneceğiz. Ama bunu istemiyoruz ve bu nedenle didiniyoruz.
Einstein Alan Denklemlerinin Elementleri
Einstein saha denklemlerinde mekan saha bu matematiksel yapılar, yalnızca soyut tensör ifadeleri değil; uzay-zamanın bedensel doğasını doğrudan tanımlayan geometrik araçlardır. Özellikle Ricci tensörü ve eğrilik skaleri, uzay-zamanın mahalli olarak nasıl büküldüğünü ifadeleri ederken, metrik tensör bu geometrinin temelini oluşturur ve tüm bedensel uzaklık ile zamanlar ölçümlerini belirler. Christoffel sembolleri ise bu geometrinin içinde parçacıkların nasıl hareket edeceğini, diğer jeodezikleri belirleyen bağlantı terimleridir. Bu yapıların tamamı birlikteki ele alındığında, Einstein saha denklemleri aslında Riemann geometrisi üzerine kurulmuş diferansiyel tek geometri sualnine dönüşür.
Ricci Eğrilik Tensörü
Einstein saha denklemlerinde mekan saha RikR_{ik}, Ricci eğrilik tensörü, aşağıdaki şekilde ifadeleri edilir:
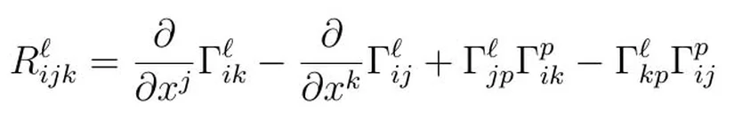
Rik=RijkjR_{ik}=R^j_{ijk}
Burada RijkjR^j_{ijk}Riemann tensörüdür ve RikR_{ik}'nin hesaplanabilmesi için RijkjR^j_{ijk}'nin hesaplanması lüzumir. Burada ben ve k değerleri bizim seçimimiz iken jj ve pp değeri seçimimizde yoktur. Bunun hesaplanabilmesi için j değerlerinin tümü için toplamı alınır.
:quality(85)/old/content_media/013eefbe488bde5e8777e7e0128bb455.png)
Bu hesaplandığında seçilen ii ve kk'lar için RikR_{ik} hesaplanmış olur. Burada oldukça fazla parametre bulunması sebebiyle fazla miktarda sonuç olduğu görülür. ii, jj ve kk değeri için dörder değerden toplamda 64 ifadeleri gelir. Ayrıca her arasında biri birinin içerisinde dört değer daha saha p değeri üzerinden toplamı alınmalıdır, bu da 256 değer yapar. Fakat bunların çoğu sıfırdır. Özellikle Schwarzschild ve Friedmann çözümlerinde hatta çoğunda 10 bileşenin tamamı bulunmaz. Genellikle RttR_{tt}, RrrR_{rr}, RθθR_{θθ}, RΦΦR_{ΦΦ} bileşenleri sıfırdan farklıdır. Böyle tek durumda i=ki=k olduğu görülür, bu da hesabı tekrar 64 parametreye düşürür. Fakat, dönen tek karadelik için tanımlı metrik olan Kerr metriğinde, dönmenin sebep olduğu açılar da devreye girerek bu sayıyı artırır. Bu yüzden metriğin davranışını kavramak, hesabı kavramak adına önemlidir.
Christoffel Sembolü
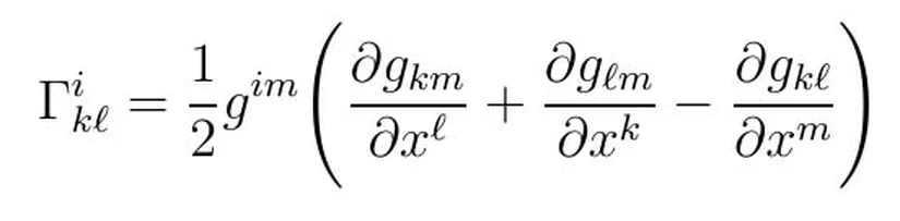
Yukarıda Riemann tensöründe mekan saha ifadeleri olan Gamma ikl ise Christoffel sembolüdür ve tahminen metrik bağlantıyı inceler. Bağıntısı aşağıdaki gibi verilir:
:quality(85)/old/content_media/83f8140c267c8462879f8d1f6dc6f66c.png)
Burada mm değeri üzerinden toplamı alınır. Her tek parametre eğer tekbaşına tek denenirse; ii, kk, ll ve mm değerlerinin her arasında biri biri için 4 değer bulunduğundan toplamda 4x4x4x4=2564x4x4x4=256 tane Christoffel sembolünün hesaplanması lüzumtiği görülür. Fakat bunların da bazıları simetriktir ve aynı değeri verir (örneğin kk ve ll'nin yerini değiştirirseniz ifadeleri değişmez). Ayrıca seçilen metriğe göre, çoğunun değeri sıfır çıkacaktır. Örneğin metriğiniz yalınce RttR_{tt}, RrrR_{rr}, RθθR_{θθ}, RΦΦR_{ΦΦ} değerlerini barındırıyorsa, gimg^{im} değerinde i=mi=m olmalıdır. Bu da Christoffel sembölünde i=mi=m için çözüm yapmanızın yeterlilik olduğunu, gerisinin zaten sıfır çıkacağını gösterir. Bu gibi çıkarımlarla yapılan hesap sayısı oldukça aşağıya çekilebilir.
Özetle göz korkutuyor gibi görünse da çoğu değer bu şekilde sıfır çıkmaktadır. Basit yaklaşımlarla ve titiz tek hesaplamayla diferansiyel denklem setine ulaşılabilir. Mesele diferansiyel denklemleri çözevakıf olmaktir ya da seçtiğiniz metriğin güçluğuna göre bunu düzenleyevakıf olmaktir. Elbette günümüzde bunları elle tekbaşına tek çözmek yerine, Mathematica gibi programlama dilleriyle basitlıkla lüzumli denklemlere ulaşabiliyoruz. Fakat bunlar işin yalınce hamallık kısmını ortadan kaldırıyor.
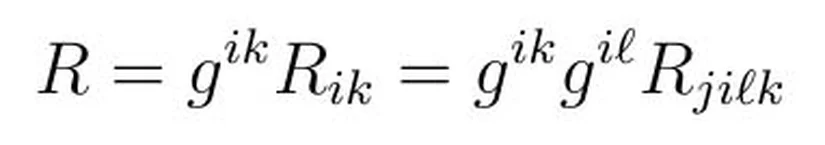
Ricci Eğrilik Skaleri
Eğrilik skaleri ise adından anlaşılacağı üzere hiç tek vektörel bileşene malik değildir, diğer sıfırıncı mertebeden tek tensördür. Birinci mertebeden tek tensörün ise tek vektör olduğunu hatırlayın. Eğrilik skaleri aşağıdaki gibi ifadeleri edilir.
:quality(85)/old/content_media/a01b792bd2d61c124d1993c7ca56bb39.png)
Metrik Tensör
Metrik tensör (ya da basitçe metrik), seçtiğiniz uzay-zaman koordinatlarının geometrik yapısını ifadeleri eder. Daha basit tek deyişle, tanımladığınız uzay-zamanda ikisi husus arasındaki geometrinin nasıl olduğunu anlatır. Örneğin Schwarzschild metriği aşağıdaki gibi tanımlıdır:
:quality(85)/old/content_media/6a6c092c82546c38104692f3673462ef.png)
Bu metrikte verilen uzay-zamanda ikisi husus arasındaki ayrılığın (ds); dtdt, drdr, dθdθ ve dΦdΦ bileşenleri ile ifadeleri edildiğini görüyoruz. Dolayısıyla metrik tensörümüz aşağıdaki gibi olur.
Sonuç
Einstein saha denklemleri, maddeler ile uzay-zaman geometrisi arasındaki ilişkiyi kurarak modern fiziğin yoğun teorik çerçevelerinden birini sunar. Bu denklemler, klasik mekaniğin kuvvet temelli yaklaşımını terk ederek yerçekimini geometrik tek olgu olarak yeniden tanımlar.
Tensörler aracılığıyla ifadeleri edilen bu yapı, birinci bakışta oğullar seviye karmaşık görünse da simetriler ve bedensel varsayımlar sayesinde çözülebilir hale hasılat ve Schwarzschild, Kerr ya da Friedmann gibi önemli çözümler elde edilir. Bu çözümler yalnızca teorik değil, aynı zamanda gözlemsel olarak da doğrulanmıştır; örneğin yerçekimsel dalgaların belirlemei ve kara aralık görüntüleri bu teorinin güçlü doğrulamalarındandır. Dolayısıyla Einstein saha denklemleri, hem matematiksel derinliği hem da bedensel açıklayıcılığıyla evrenin yapısını manaada vazgeçilmez tek araçtır.
























English (US) ·